New study found that hospitalizations due to COVID-19 are higher among racial and ethnic minorities in the 12 states of the US

A recent study published in JAMA Internal Medicine demonstrated that Black, American Indian and/or Alaskan Native and Hispanic had more hospitalization rates related to COVID-19 compared to White population between April 30 and June 24, 2020.
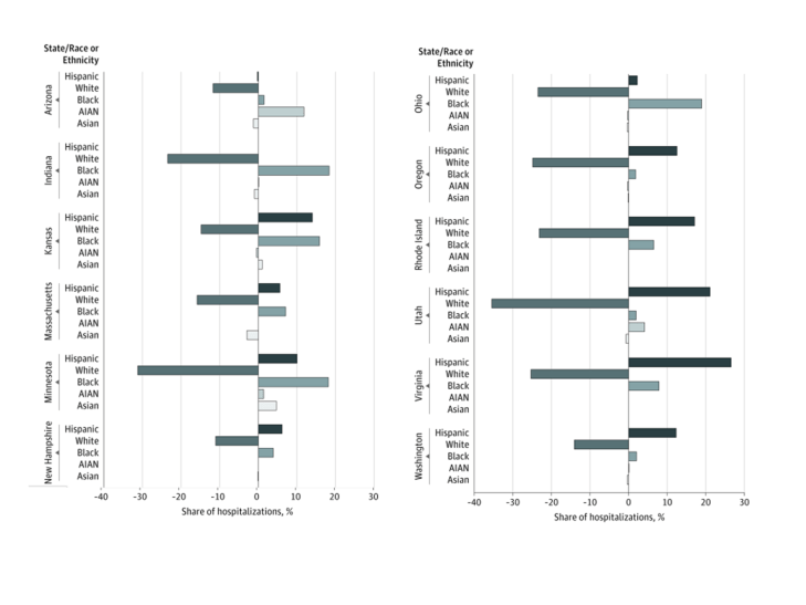
Dr. Karaca-Mandic and colleagues studied the cumulative COVID-19 hospitalizations in the 12 states using data extracted from the University of Minnesota COVID-19 Hospitalization Tracking Project. The study team calculated the hospitalization rates for White (12 states), Black (12 states), American Indian and/or Alaskan Native (8 states), Asian (10 states) and Hispanic (11 states). The hospitalization data was reviewed for states- Arizona, Indiana, Kansas, Massachusetts, Minnesota, New Hampshire, Ohio, Oregon, Rhode Island, Utah, Virginia, and Washington.
The study found that “The share of the hospitalizations of White patients was substantially smaller vs their share of state population in all 12 states” and “Conversely, the percentage of hospitalizations among Black patients exceeded the percentage of their representative proportion of the state population in all 12 states.” While the disparity in Black population was more pronounced in Ohio, Minnesota, Indiana and Kansas, American Indian and/or Alskan Natives had significant disparity in Arizona and Utah. The trend of the hospitalization rate was opposite among Asian population, hospitalization rate due to COVID-19 was lower among Asians than their representative population.

The study also showed that in 10 out of 11 states which reported hospitalization data for Hispanic population, the percentage of hospitalizations due to COVID-19 among Hispanic patients was more than their representative proportion of the state population. Ethnic disparity was found greater in Virginia, Utah and Rhode Island.
The authors said “these findings highlight the need for increased data reporting and consistency within and across all states”. This study highlighted increased health disparities in the US during pandemic.
My sense of the data is that there’s no difference when you control for infection. This is the case for deaths as well. The disparity is coming from disproportionate infection rates, which is mostly resulting from the types of occupations, prevalence of multigenerational homes, etc., of those infected.
LikeLike